三
X
首页
关于我们
企业简介
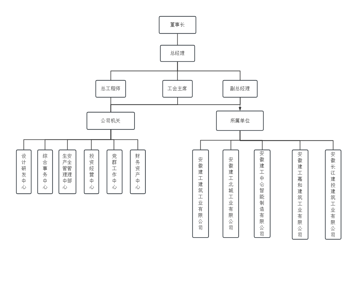
组织架构
下属企业
建筑工业公司
北城工业公司
中仑公司
嘉和工业公司
长江建投
新闻中心
集团要闻
公司新闻
基层动态
企业党建
党建工作
专题专栏
思想主题教育
项目案例
科技创新
科技成果
信息公开
企业信息
经济信息
关于我们
企业简介
组织架构
关于我们
当前位置 :
首页
>
关于我们
>
组织架构
组织架构
友情链接:
安徽省人民政府国有资产监督管理委员会
/
安徽省交通运输厅
/
安徽省住房和城乡建设厅
/
合肥市重点工程建设管理局
/
安徽省交通控股集团有限公司
/
安徽建工集团
/
TOP